找回密码
 立即注册
搜索
热搜: 活动 交友 discuz
查看: 96|回复: 0

制药人必看!合成肽药物杂质分类全解析,轻松应对质量难题!

[复制链接]

359

主题

0

回帖

1119

积分

版主

积分
1119
发表于 2025-9-5 19:39:54 | 显示全部楼层 |阅读模式
肽类药物是一种由多个氨基酸通过酰胺键连接而成的化合物,其分子大小介于小分子化学药物与大分子生物药物之间。相比小分子化学药物,肽类药物具备更高的药效、更强的选择性以及高度特异性,同时其代谢过程中的毒性也相对较低。与大分子生物药物相比,肽类药物则表现出更低的免疫原性,能更加精准地作用于深层靶点,同时具有更低的生产成本。正因为这些显著优势,近年来肽类药物受到了制药界和学术界的广泛关注。据统计,肽类药物市场的增长速度已是其他药物的两倍。目前,已有多种肽类药物被广泛应用于临床,涵盖了糖尿病、骨质疏松、癌症、多发性硬化症、慢性疼痛以及HIV感染等多种疾病的治疗领域。众所周知,活性肽是药物发挥作用的物质基础,因此在肽类药物的开发过程中,活性肽原料药(API)的质量控制至关重要。其中,对肽相关杂质的控制是质量管理的核心任务之一。这些杂质不仅影响临床试验样品的质量和安全性,在药物研发早期阶段,还可能干扰药效的评估。如果对杂质研究不充分,甚至可能得出错误结论,导致研发失败或延误。目前,化学合成技术仍是生产肽类药物的主流方法。从早期的溶液合成技术到后来的固相肽合成工艺,经过多年的技术革新,合成工艺已趋于成熟。化学合成肽链的主要步骤包括树脂加载、脱保护基团、活化与交联反应以及肽链的切割。在这一过程中,脱保护、活化以及交联步骤是最容易产生杂质的环节,因此这些步骤通常被视为质量控制的重点。·缺失肽:缺失肽是指在目标肽链中缺少一种或多种氨基酸的肽分子。这种杂质通常由以下原因导致:氨基酸瞬时保护基团未完全去除、氨基酸活化不足或交联效率低下。缺失肽的识别方法通常基于质谱分析,通过观察杂质与目标肽之间的质量差,若质量差等于缺失氨基酸分子量减去水的分子量,则可确认其为缺失肽。·插入肽:插入肽的形成通常发生在交联反应过程中。当交联所需的氨基酸过量添加后,如果未能及时彻底清洗,或者反应时间过长,过量的氨基酸可能发生二次交联,从而生成插入肽。通过质谱分析可检测插入肽,其特征为杂质与目标肽的质量差等于插入氨基酸的分子量减去水的分子量。·错构肽:错构肽是在固相反应过程中,由氨基酸插入与缺失同时发生而导致的肽链结构异常。·共价附着杂质:在固相合成过程中,若永久性保护基团未完全去除,这些保护基团可能与肽链共价结合,形成共价附着杂质。例如,若质谱分析中发现杂质分子量比目标肽高56 Da,则可能是tBu保护基附着;若分子量高100 Da,则可能是tBoc-TCS保护基附着
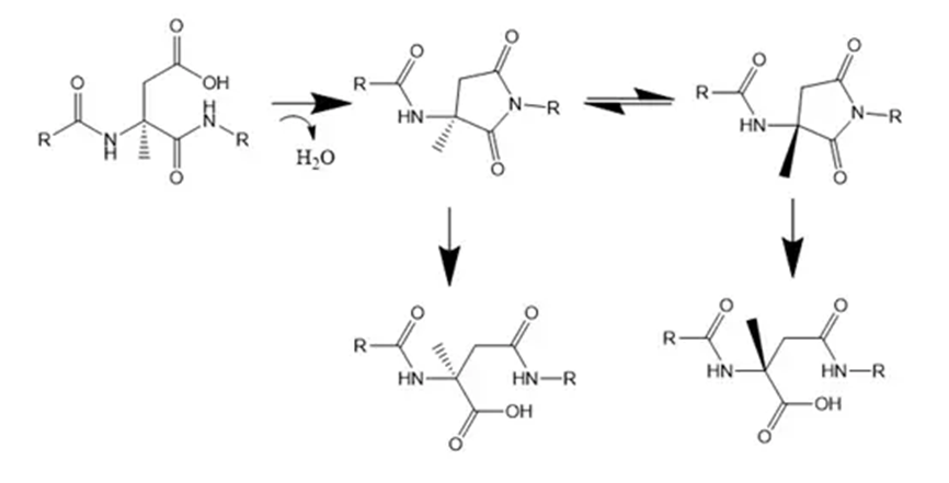
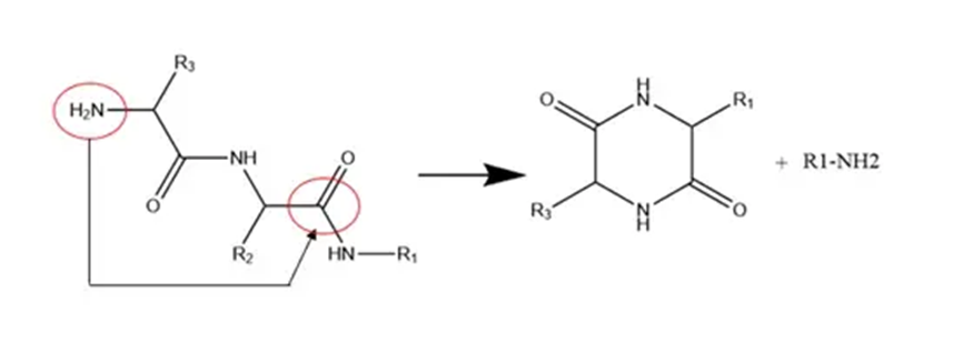
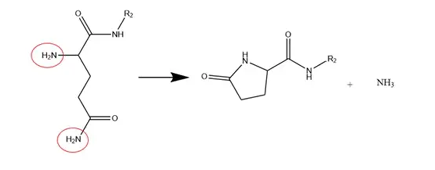
共价杂质与降解相关的杂质降解相关杂质是指在肽药物的生产、储存过程中因物理化学变化而产生的杂质。这些杂质可能由氧化、光照、高温、pH值变化、离子强度变化以及吸附等因素引起。肽分子中氨基酸的种类及其在肽链中的位置,对肽的稳定性影响显著。·异肽:异肽是由于肽链中某些氨基酸残基的手性构型发生意外变化而形成的杂质。这种变化可能来自于起始材料中的光学异构体,或者在合成过程中因烯醇化或氮杂内酯化引起的手性中心变化。异肽杂质的色谱行为与主成分相似,分子量也一致,因此分离和鉴定较为复杂。可通过使用氘代试剂对肽进行水解和衍生化处理,分析肽链中易发生消旋的氨基酸含量,从而确认异肽的存在。表观遗传肽形成的机制·断裂肽:断裂肽是指肽链中的酰胺键因高温或pH值变化而断裂所形成的杂质。研究表明,碱性环境更容易引发肽键断裂。通过质谱分析可以轻松识别断裂肽,根据杂质与母肽的质量差即可推断断裂位置。断裂肽·脱酰胺杂质:当肽链中含有谷氨酰胺或天冬酰胺时,酰胺键可能断裂,生成谷氨酸或天冬氨酸残基。脱酰胺可通过直接水解(多见于酸性环境)或β转化(多见于碱性条件)两种机制产生。后者会生成琥珀酰亚胺环,这一中间体进一步水解后产生脱酰胺杂质。·异构化杂质:天冬氨酸是最容易发生异构化的氨基酸。异构化过程通常涉及主链环化形成琥珀酰亚胺,然后在环开裂过程中生成异构体,并可能伴随异肽的形成。天冬氨酸相关杂质的生成机制·二酮哌嗪与吡咯谷氨酸:二酮哌嗪杂质是由N端氨基攻击主链上的酰胺键羰基生成的,而吡咯谷氨酸是由N端谷氨酸环化形成的。二嗪哌酮杂质的生成机制·聚合物杂质:肽分子间的自我聚集或相互作用可能导致高分子量聚合物的形成,分为共价聚合与非共价聚合。与热谷氨酸相关杂质的生成机制·氧化杂质:氧化杂质是在肽储存过程中因暴露于氧气或光照而生成的。含硫氨基酸、组氨酸、酪氨酸及色氨酸最易发生氧化反应。

写在最后
肽类药物在开发与生产的各个阶段中,相关杂质的研究和控制都具有重要意义。尤其是在药物研发的早期阶段,杂质可能因其拮抗作用或对药效的干扰而引发误判。为此,建议在生物学测试中选用不同来源的肽原料,以确保测试结果的准确性,消除杂质对药物疗效评估的潜在干扰。

参考文献
  • Muttenthaler M, King GF, Adams     DJ, Alewood PF, Trends in peptide drug discovery. Nat Rev Drug Discov     20:309-325.
  • V.Sanz-Nebot, I.Toro,     Investigation of synthetic peptide hormones by liquid chromatography     coupled to pneumatically assisted electrospray ionization msaa     spectrometry:analysis of a synthesis crude of peptide triptorelin, Rapid     Commun. Mass Spectrom,2001;15:1031-1039.
  • Matthias D’Hondt, Nathalie     Bracke, Related impurities in peptide medicines, Journal of Pharmaceutical     and Biomedical Analysis 101 (2014) 2–30.
  • Shikha Patel, Vivek K. Vyas,     Priti J. Mehta, A Review on Forced Degradation Strategies to Establish the     Stability of Therapeutic Peptide Formulation, International Journal of     Peptide Research and Therapeutics (2023) 29:22.
  • Brian Gregg,Aleksander     Swietlow,Control Strategies for Synthetic Therapeutic Peptide APIs Part     III: Manufacturing Process Considerations.
  • Virender K. Sharma a&     Nigel J.D. Graham , Oxidation of Amino Acids, Peptides and Proteins by     Ozone: A Review, Ozone: Science & Engineering, 32: 81–90.
点关注   不迷路
天玑算·科研服务,提供模拟计算、CPU/GPU租用、学术培训、服务器定制、超算集群建设、实验检测、免费计算课程等,50+全职计算工程师团队可满足您不同领域的计算需求,涉及第一性原理计算,分子动力学模拟,有限元仿真,相图计算,机器学习等……工程师线上1对1了解您的需求,结合需求为您提供定制化理论计算方案!(微信:TJS10591)
您需要登录后才可以回帖 登录 | 立即注册

本版积分规则

QQ|Archiver|手机版|小黑屋|Octave中文网学术交流论坛 ( 黑ICP备2024030411号-2 )

GMT+8, 2026-1-12 15:44 , Processed in 0.086634 second(s), 21 queries .

Powered by Discuz! X3.5

© 2001-2025 Discuz! Team.

快速回复 返回顶部 返回列表